Sebuah kolam berbetuk lingkaran memiliki diameter sebesar 14 m, tentukan kelilingnya

 Sebuah kolam berbentuk lingkaran memiliki diameter sebesar 14 m, tentukan keliling dari lingkaran kolam tersebut

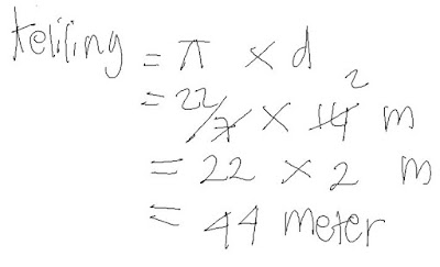
Jawaban :

Diketahui : diameter kolam 14 meter

Ditanyakan : Keliling kolam berbentuk lingkaran

Menggunakan rumus keliling lingkaran π x d

π bisa menggunakan 22/7



Post a Comment for "Sebuah kolam berbetuk lingkaran memiliki diameter sebesar 14 m, tentukan kelilingnya"

Mendukung Kami Dengan Klik Iklan.